The prognostic value of actin-binding proteins fascin and ezrin in patients with squamous cell carcinoma of the head and neck
- Authors: Kondakova I.V.1, Kakurina G.V.1, Kolegova E.S.1, Cheremisina O.V.1, Korshunov D.A.1, Bakhronov I.A.1, Choinzonov E.L.1,2
-
Affiliations:
- Tomsk National Research Medical Center of the Russian Academy of Sciences
- Siberian State Medical University
- Issue: Vol 50, No 1 (2022)
- Pages: 31-37
- Section: ARTICLES
- Published: 28.04.2022
- URL: https://almclinmed.ru/jour/article/view/1652
- DOI: https://doi.org/10.18786/2072-0505-2022-50-006
- ID: 1652
Cite item
Full Text
Abstract
Rationale: During neoplastic transformation, epithelial cells become mobile, which is one of the main mechanisms of metastatic disease and recurrence. Cell motility is regulated by actin-binding proteins, which ensure the association/dissociation of actin filaments and their interaction with the cell membrane. Previously, we have shown the presence of actin-binding proteins in the serum from patients with squamous cell carcinoma of the head and neck (HNSCC); however, their association with the development of metastases and relapses in cancer patients has not been sufficiently studied.
Aim: To evaluate the serum levels of actin-binding proteins fascin-1 and ezrin in patients with HNSCC depending on the disease recurrence and lymphatic metastasis.
Materials and methods: Serum fascin-1 and ezrin levels before combination therapy were measured with ELISA assay in 30 HNSCC (T1-4N0-2M0) patients (mean age 56 ± 7 years).
Results: The median fascin-1 level was significantly higher in the patients with lymphatic metastases, compared to those without metastases: 0.64 (0.40; 5.89) vs 6.35 (1.72; 8.35) ng/mL, respectively (p < 0.001). At 12 to 36 months after combination therapy, the disease relapsed in 12 (40%) patients. Ezrin levels were significantly higher in the relapsed patients, compared to those without a relapse within 3 years after combination therapy: 2.55 (2.35; 2.75) vs 1.93 (1.87; 2.5) ng/mL (p = 0.02). The ROC analysis showed an association between fascin-1 serum levels with metastatic disease (AUC = 0.71, 95% confidence interval 0.57–0.85) and an association between ezrin levels and the disease relapse (AUC = 0.76, 95% confidence interval 0.57–0.94).
Conclusion: These indicators can be used for the development of minimally invasive early detection of metastases in lymphatic nodes and for the prognosis of HNSCC recurrence.
Full Text
Плоскоклеточный рак органов головы и шеи (ПРГШ) – актуальная и сложная проблема современной онкологии. В структуре общей заболеваемости он составляет 20% [1]. Ежегодно в мире появляется около 600 тыс. новых больных раком головы и шеи, а 5-летняя выживаемость варьирует в пределах 40–50% [2]. В Российской Федерации заболеваемость остается высокой и составляет 35 тыс. первичных больных ежегодно [3]. ПРГШ включает опухоли, развившиеся из плоского эпителия полости рта, глотки и гортани. Ввиду скрытого клинического течения, сложности анатомо-топографического строения, инфильтративного характера роста, раннего вовлечения в опухолевый процесс лимфоузлов, трудности диагностики и позднего обращения пациентов результаты лечения не всегда удовлетворительны. Часто диагностируются запущенные формы рака, выживаемость среди таких пациентов составляет около 40% [4]. Основной причиной летальности при ПРГШ выступают местные рецидивы и метастазы в лимфатические узлы шеи [5]. Общая частота метастатического поражения шейных лимфатических узлов достигает 60% [6]. Существует острая потребность в молекулярных маркерах, которые помогут прогнозировать развитие метастазов и рецидивов, обеспечить более эффективное и специфическое лечение ПРГШ, повысить выживаемость [7].
Молекулярные исследования показали, что ПРГШ имеет высокую степень генетической гетерогенности, что приводит к мутациям, связанным с потерей функции в генах-супрессорах опухолей, таких как p53 и p16INK4a, а также активации онкогенов, таких как рецептор эпидермального фактора роста (EGFR) 4 и PIK3CA5 [8]. Установлена прогностическая значимость протеаз в отношении развития лимфогенных метастазов [9]. Протеомные исследования сыворотки крови выявили, что некоторые актин-связывающие белки могут быть определены в сыворотке крови больных ПРГШ [10]. Актин-связывающие белки регулируют перестройку цитоскелета во время эпителиально-мезенхимального перехода, обеспечивая подвижность клеток, что служит причиной появления циркулирующих опухолевых клеток, ответственных за развитие метастазов и рецидивов [11]. Ранее нами было показано присутствие актин-связывающих белков, в частности, эзрина и фасцина, в сыворотке крови больных ПРГШ [12].
Известно, что эзрин способствует метастазированию опухоли, однако молекулярные механизмы этого пока не определены. Эзрин избыточно экспрессируется в ткани рака языка, может играть важную роль в миграции и инвазии и, таким образом, служить терапевтической мишенью при плоскоклеточных карциномах языка [13]. Определение уровня сывороточного эзрина предлагается в качестве маркера ранней диагностики при плоскоклеточном раке пищевода [14].
В процессе локомоции клеток ПРГШ важная роль принадлежит актин-связывающему белку фасцину, который вовлечен в формирование пучков актина [15]. Ингибирование фасцина-1 в клетках ПРГШ снижало миграцию и инвазию клеток карциномы in vitro и уменьшало метастазирование in vivo, а экспрессия этого показателя в инвазивном фронте опухолей была связана с опухолеспецифической смертностью на поздних стадиях [16]. Несмотря на то что экспрессия генов и уровень фасцина и эзрина в тканях активно исследуются, большой интерес представляют данные, полученные в результате изучения этих белков в сыворотке крови онкологических больных, так как это позволит разработать малоинвазивные способы прогнозирования метастазирования и рецидивирования заболевания.
Цель исследования – изучить уровни актин-связывающих белков фасцина-1 и эзрина в сыворотке крови больных ПРГШ в зависимости от рецидивирования и метастазирования.
Материал и методы
В исследование вошли 30 пациентов с ПРГШ (T1-4N0-2M0), поступивших на лечение в отделение опухолей головы и шеи НИИ онкологии Томского НИМЦ. Средний возраст пациентов составил 56 ± 7 лет. Диагноз был гистологически верифицирован, во всех случаях опухоли имели гистологическое строение плоскоклеточной карциномы разной степени дифференцировки. До проводимого исследования пациенты не получали специального лечения. В дальнейшем больным проводилось комбинированное лечение, которое заключалось в выполнении хирургического вмешательства на первичном опухолевом очаге и регионарном лимфатическом аппарате шеи (по показаниям) с пред- или послеоперационным курсом лучевой терапии или химиотерапией. Группу контроля составили 12 здоровых доноров, не имеющих хронических заболеваний верхних дыхательных путей в стадии обострения, их средний возраст был 47 ± 9 лет.
Работа проведена в соответствии с Хельсинкской декларацией Всемирной медицинской ассоциации «Этические принципы проведения научных медицинских исследований с участием человека» с поправками 2000 г. и «Правилами клинической практики в Российской Федерации», утвержденными Приказом Минздрава России от 19.06.2003 № 266. Всеми пациентами было дано информированное согласие на проведение исследования.
Сыворотку крови больных и здоровых доноров получали для исследований в соответствии со стандартным протоколом и хранили при -80 °С. Определение фасцина и эзрина в сыворотке крови проводили иммуноферментным методом на микропланшетном ридере Multiskan FC 100 (ThermoFisher Scientific) с помощью наборов ELISA Kit for Fascin (FSCN1) (Cloud-Clone Corp.) и ELISA Kit for Cytovillin (CVL; Ezrin) (Cloud-Clone Corp.). Уровни фасцина и эзрина в сыворотке крови оценивали до начала комбинированного лечения.
Статистическую обработку результатов осуществляли с применением пакета программ Statistica 8.0 (StatSoft, Россия) и IBM SPSS Statistics 22.0. После проверки количественных показателей на нормальность распределения с помощью критерия Колмогорова – Смирнова использовался непараметрический критерий Манна – Уитни (U-test) для сравнения различий двух групп. Для количественных признаков рассчитывали медиану с интерквартильным размахом и выражали в таблицах как Ме [Q25%; Q75%], где n – количество человек. Различия считали статистически значимыми при p < 0,05. Чувствительность, специфичность и прогностическую значимость кандидатных маркеров определяли методом ROC-анализа (англ. receiver operating characteristic) по правилу расчета площадей под кривыми AUC (англ. area under curve) и указывали 95% доверительный интервал (95% ДИ). По результатам ROC-анализа выбирали точку отсечения (cut-off) исходя из оптимального соотношения «чувствительность/специфичность».
Результаты
На рис. 1 приведены данные по содержанию актин-связывающих белков фасцина-1 и эзрина в сыворотке крови у больных ПРГШ по сравнению со здоровыми донорами. Значимых различий в уровнях изучаемых белков не наблюдалось, что связано, вероятно, с большим разбросом данных в группе пациентов с ПРГШ.
Рис. 1. Уровень фасцина-1 (А) и эзрина (Б) в сыворотке крови в группах больных плоскоклеточным раком области головы и шеи (ПРГШ) и контрольной группы
Изучение уровней актин-связывающих белков в сыворотке крови больных ПРГШ в зависимости от лимфогенного метастазирования показало, что уровень фасцина-1 был статистически значимо выше в группе больных с метастазами по сравнению с пациентами без метастазов (табл. 1).
Таблица 1. Уровень фасцина-1 и эзрина в сыворотке крови больных плоскоклеточным раком области головы и шеи до лечения в зависимости от лимфогенного метастазирования, Me (Q25%; Q75%)
Показатель, нг/мл | T2-3N0-M0 (n = 21) | T2-3N1-2M0 (n = 9) | Значение p |
Фасцин-1 | 0,64 (0,40; 1,89) | 6,35 (1,72; 8,35) | 0,001 |
Эзрин | 1,93 (1,6; 2,6) | 2,20 (1,55; 2,60) | 0,86 |
На следующем этапе работы было проведено исследование зависимости уровней исследуемых показателей в сыворотке крови от рецидивирования в течение 3 лет после комбинированного лечения больных ПРГШ. В представленной выборке пациентов прогрессирование опухолевого процесса наблюдалось у 12 (40%) больных за счет развития рецидивов опухоли в период от 12 до 36 месяцев. Уровень эзрина был статистически значимо выше в группе больных ПРГШ с рецидивированием по сравнению с больными, у которых рецидивы не развились (табл. 2). Это позволяет говорить о существовании зависимости развития рецидивов от уровня эзрина, определяемого в сыворотке крови до начала лечебных процедур.
Таблица 2. Уровень фасцина-1 и эзрина в сыворотке крови больных плоскоклеточным раком области головы и шеи в зависимости от развития рецидивов после комбинированного лечения, Me (Q25%; Q75%)
Показатель, нг/мл | R1 (n = 12) | R0 (n = 18) | Значение p |
Фасцин-1 | 6,05 (0,52; 7,50) | 1,18 (0,46; 7,08) | 0,45 |
Эзрин | 2,55 (2,35; 2,75) | 1,93 (1,87; 2,5) | 0,02 |
R1 – рецидив есть, R0 – рецидива нет
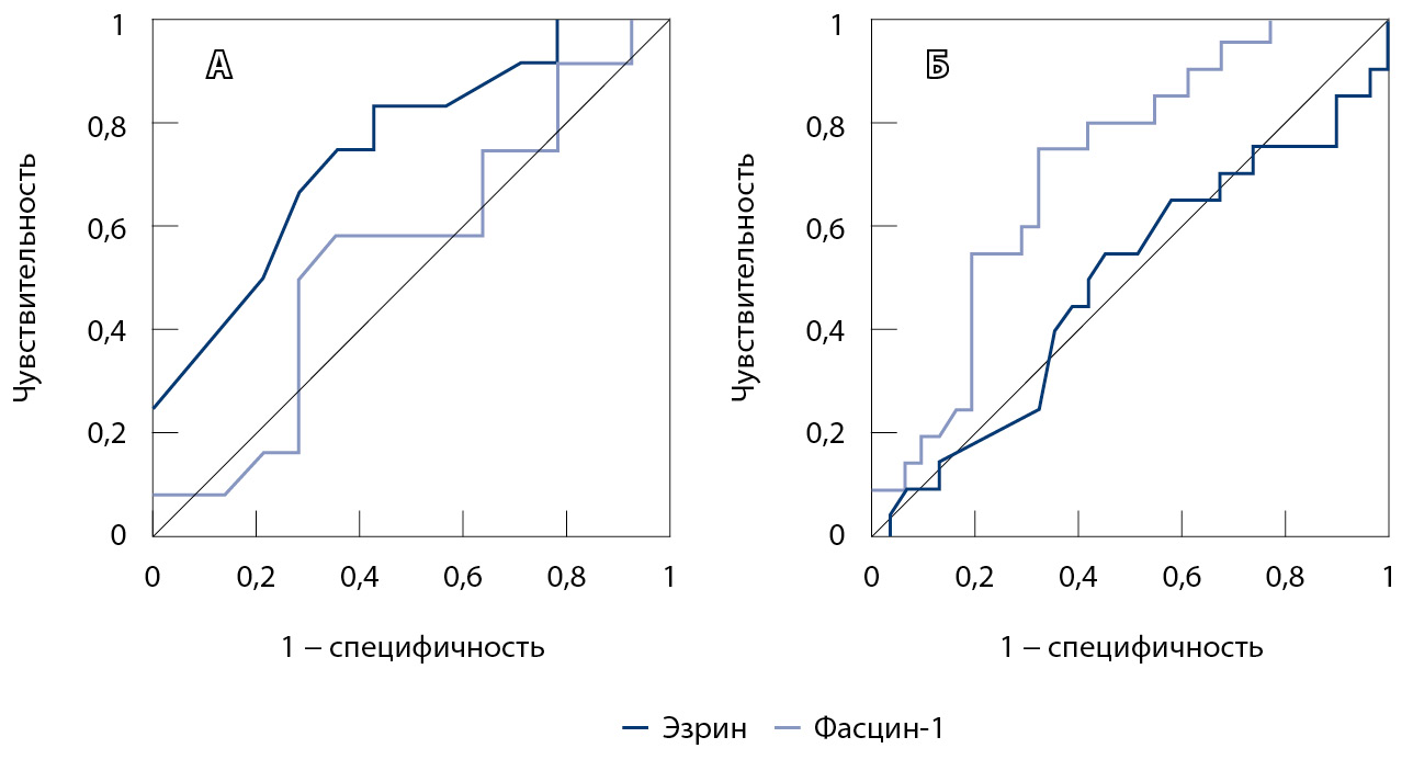
Результаты ROC-анализа, с помощью которого рассчитывали перспективность определения уровней фасцина-1 и эзрина в сыворотке крови для различения больных с метастазами и без них, а также больных с высоким и низким риском развития рецидивов, отражены на рис. 2.
Рис. 2. ROC-анализ факторов прогноза рецидивирования (А) и лимфогенного метастазирования (Б) у больных плоскоклеточным раком области головы и шеи
При изучении прогностической значимости белков в отношении рецидивирования выявлено, что для эзрина AUC равна 0,76 с 95% ДИ 0,57–0,94. Это позволяет классифицировать эзрин как удовлетворительный предиктор появления рецидивов в течение 3 лет у больных ПРГШ. Чувствительность прогноза составляет 75%, специфичность 70% при пороговом значении уровня эзрина (cut-off) более 2,10 нг/мл. Для фасцина-1 AUC была 0,55 с 95% ДИ 0,32–0,77, что говорит об отсутствии предсказательной значимости фасцина-1 в отношении развития рецидивов в течение 3 лет у больных ПРГШ в представленной выборке. Таким образом, рецидивы чаще выявлялись среди больных, в сыворотке крови которых уровень эзрина был выше 2,10 нг/мл. В случае развития лимфогенных метастазов для фасцина-1 AUC была равна 0,71 с 95% ДИ 0,57–0,85, что позволяет отнести его к удовлетворительным признакам лимфогенного метастазирования у больных ПРГШ. Чувствительность составила 75%, специфичность – 62% с пороговым значением (cut-off) для уровня фасцина-1 в сыворотке крови более 1,18 нг/мл. Для эзрина AUC = 0,49 с 95% ДИ 0,32–0,66, следовательно, он не связан с лимфогенным метастазированием.
Обсуждение
Поиск маркеров прогноза развития метастазов и рецидивов ПРГШ – одно из важных направлений молекулярной онкологии, так как основной причиной летальности при данной патологии становятся местные рецидивы и метастазы в лимфатические узлы. Общепринятым и основным критерием прогноза, который определяет тактику лечения больных, служит распространенность опухолевого процесса, однако эффективность лечения и исход заболевания далеко не всегда связаны с этим критерием [3]. Наличие метастазов в лимфатических узлах считается одним из неблагоприятных прогностических факторов у больных ПРГШ, сокращающим 5-летнюю выживаемость пациентов вдвое. В то же время известно, что около 25% пациентов имеют скрытые метастазы в лимфатические узлы [2]. Именно поэтому представляется невозможным использование клинико-морфологических прогностических факторов на ранних стадиях опухолевого процесса и при скрытых метастазах в лимфатические узлы, которые не определяются клинически [2]. Раннее обнаружение лимфогенных метастазов – необходимое условие планирования адекватного объема лечения онкологических больных. В связи с этим актуален поиск дополнительных молекулярных прогностических критериев, которые могли бы объективно отражать состояние опухолевой прогрессии и определять прогноз развития заболевания. Современные достижения молекулярной онкологии наряду с пониманием фундаментальных основ опухолевой прогрессии способствовали развитию практических приложений, связанных, в частности, с идентификацией белковых маркеров в сыворотке крови.
К числу показателей, которые могут служить перспективными маркерами метастазирования и рецидивирования ПРГШ, относятся актин-связывающие белки. В литературе представлены весьма скудные данные о возможности присутствия актин-связывающих белков в сыворотке крови. Известно, что к циркулирующим маркерам относится фасцин, который был обнаружен в интерстициальной жидкости опухолевого микроокружения пациентов с ПРГШ [17], и показано увеличение его содержания в сыворотке крови при раке легкого по сравнению со здоровыми донорами [18]. Ранее нами было подтверждено присутствие фасцина-1 в сыворотке крови больных ПРГШ [12].
В настоящей работе показана связь сывороточного уровня фасцина-1 с развитием лимфогенных метастазов у больных ПРГШ. Изучение механизмов участия фасцина в опухолевом росте выявило, что белок специфически взаимодействует с F-актином с образованием параллельных пучков актина и участвует в регуляции клеточной адгезии, межклеточных взаимодействий и миграции [15]. Обнаружено увеличение экспрессии фасцина-1 в различных эпителиальных новообразованиях, включая ПРГШ. Кроме того, сверхэкспрессия фасцина-1 в ткани ПРГШ связана с инвазией и метастазированием рака [15, 19]. Ингибирование фасцина-1 микроРНК miR-145-5p, которая выполняет роль супрессора опухолей, снижало прогрессирование рака гортани [20]. Обнаруженная нами связь содержания фасцина-1 в сыворотке крови с процессом метастазирования позволяет утверждать, что формирование метастатического ПРГШ сопряжено с повышением уровня фасцина в сыворотке крови. Этот показатель можно рассматривать в качестве кандидатного маркера для прогноза метастазирования рака вышеуказанной локализации и для раннего обнаружения лимфогенных метастазов. Определение этого показателя позволит выделить группы больных с высокой вероятностью возникновения лимфогенного метастазирования, оптимизировать сроки динамического наблюдения больных и в случае прогрессирования заболевания принять своевременные лечебные меры.
Оценка частоты появления рецидивов у данной категории пациентов в течение 3 лет после комбинированного лечения выявила, что прогрессирование опухолевого процесса у 40% больных было отмечено за счет развития именно рецидивов опухоли. Изучение сывороточного уровня актин-связывающих белков показало наличие эзрина. Нами получены данные о связи сывороточного уровня эзрина с развитием рецидивов у больных ПРГШ. Прогностическая ценность уровня актин-связывающих белков в сыворотке крови в отношении появления рецидивов у больных ПРГШ была определена с помощью ROC-анализа, результаты которого обозначили перспективы использования этого показателя для прогноза рецидивирования. Представленные результаты согласуются с данными литературы, указывающими на снижение безрецидивной выживаемости у больных с высоким содержанием эзрина в клетках ПРГШ [21]. Установлено, что эзрин вносит существенный вклад в развитие опухолевой прогрессии плоскоклеточного рака гортани и выступает фактором прогноза рака этой локализации [22]. Эзрин, будучи членом семейства белков «эзрин – радиксин – моэзин» (ERM), которое относится к белкам, связанным с цитоскелетом и клеточной мембраной, играет роль в ремоделировании нитей актина и межклеточной адгезии [13]. Сверхэкспрессия эзрина в тканях опухолей ассоциируется с инвазией и метастазами ПРГШ [14]. Таким образом, не только тканевая экспрессия эзрина может служить фактором прогноза течения заболевания, но и уровень этого белка в сыворотке крови может быть дополнительным фактором, позволяющим выявлять рецидивы ПРГШ. Полученные нами результаты позволяют глубже понять механизмы опухолевой прогрессии на системном уровне и разработать новые подходы к прогнозированию метастазирования и рецидивирования ПРГШ.
Заключение
У пациентов с ПРГШ выявлено повышение уровня фасцина-1 в сыворотке крови при лимфогенном метастазировании и повышение уровня эзрина в связи с рецидивированием опухолевого процесса. В совокупности наши данные показывают, что эзрин и фасцин-1 в сыворотке крови связаны с прогрессированием ПРГШ. Результаты, представленные в данной работе, создают фундаментальную базу для разработки малоинвазивных способов прогнозирования развития рецидивов и раннего обнаружения метастазов и обусловливают необходимость дальнейших исследований роли актин-связывающих белков в опухолевой прогрессии.
Дополнительная информация
Финансирование
Работа выполнена в рамках Госзадания НИИ онкологии Томского НИМЦ на 2022 г.
Конфликт интересов
Авторы заявляют об отсутствии конфликта интересов.
Участие авторов
И.В. Кондакова – разработка дизайна исследования, анализ результатов, анализ научной работы, написание текста; Г.В. Какурина – исследование показателей в сыворотке крови методом иммуноферментного анализа; Е.С. Колегова – статистическая обработка материала; О.В. Черемисина – проведение комплексного обследования, формирование групп пациентов; Д.А. Коршунов – обработка материала, составление базы данных; И.А. Бахронов – набор клинического материала; Е.Л. Чойнзонов – разработка концепции научной работы, утверждение итогового варианта текста рукописи. Все авторы прочли и одобрили финальную версию статьи перед публикацией, согласны нести ответственность за все аспекты работы и гарантируют, что ими надлежащим образом были рассмотрены и решены вопросы, связанные с точностью и добросовестностью всех частей работы.
About the authors
Irina V. Kondakova
Tomsk National Research Medical Center of the Russian Academy of Sciences
Author for correspondence.
Email: kondakova@oncology.tomsk.ru
ORCID iD: 0000-0002-0947-8778
MD, PhD, Professor, Head of Laboratory of Tumor Biochemistry, Cancer Research Institute
Russian Federation, 5, Kooperativnyy per., Tomsk, 634009Gelena V. Kakurina
Tomsk National Research Medical Center of the Russian Academy of Sciences
Email: kakurinagv@oncology.tomsk.ru
ORCID iD: 0000-0002-4506-9429
MD, PhD, Senior Research Fellow, Laboratory of Tumor Biochemistry, Cancer Research Institute
Russian Federation, 5, Kooperativnyy per., Tomsk, 634009Elena S. Kolegova
Tomsk National Research Medical Center of the Russian Academy of Sciences
Email: kondakova@oncology.tomsk.ru
ORCID iD: 0000-0001-9122-3274
MD, PhD, Research Fellow, Laboratory of Biology of Tumor Progression, Cancer Research Institute
Russian Federation, 5, Kooperativnyy per., Tomsk, 634009Olga V. Cheremisina
Tomsk National Research Medical Center of the Russian Academy of Sciences
Email: kondakova@oncology.tomsk.ru
ORCID iD: 0000-0001-7234-4708
MD, PhD, Head of Department of Endoscopy, Cancer Research Institute
Russian Federation, 5, Kooperativnyy per., Tomsk, 634009Dmitriy A. Korshunov
Tomsk National Research Medical Center of the Russian Academy of Sciences
Email: ieved@yandex.ru
ORCID iD: 0000-0002-1058-3882
MD, PhD, Research Fellow, Laboratory of Tumor Biochemistry, Cancer Research Institute
Russian Federation, 5, Kooperativnyy per., Tomsk, 634009Islom A. Bakhronov
Tomsk National Research Medical Center of the Russian Academy of Sciences
Email: islom.fighter101@gmail.com
Postgraduate Student, Department of Head and Neck Tumors, Cancer Research Institute
Russian Federation, 5, Kooperativnyy per., Tomsk, 634009Evgeny L. Choinzonov
Tomsk National Research Medical Center of the Russian Academy of Sciences; Siberian State Medical University
Email: choynzonov@gmail.com
ORCID iD: 0000-0002-3651-0665
MD, PhD, Professor, Member of Russ. Acad. Sci., Head of Department of Head and Neck Tumors, Director of Cancer Research Institute, Head of Chair of Oncology
Russian Federation, 5, Kooperativnyy per., Tomsk, 634009; 2, Moskovskiy trakt, Tomsk, 634050References
- Kaprin AD, Starinskiy VV, Shahzadova AO, editors. Malignant neoplasms in Russia in 2019 (morbidity and mortality). Moscow: MNIOI named after P.A. Herzen – branch of the FSBI "National Medical Research Center of Radiology" of the Ministry of Health of Russia; 2020. 252 p. Russian.
- Marur S, Forastiere AA. Head and Neck Squamous Cell Carcinoma: Update on Epidemiology, Diagnosis, and Treatment. Mayo Clin Proc. 2016;91(3):386–396. doi: 10.1016/j.mayocp.2015.12.017.
- Choinzonov EL, Kondakova IV, Spirina LV, Lebedev IN, Goldberg VE, Chizhevskaya SYu, Shishkin DA, Urazova LN, Kakurina GV, Bychkov VA, Khrichkova TYu, Melnikov AA. Squamous cell head and neck carcinoma: molecular bases of pathogenesis. Moscow: Nauka; 2016. 224 p. Russian.
- Simard EP, Torre LA, Jemal A. International trends in head and neck cancer incidence rates: differences by country, sex and anatomic site. Oral Oncol. 2014;50(5):387–403. doi: 10.1016/j.oraloncology.2014.01.016.
- Vasan K, Low TH, Gupta R, Ashford B, Asher R, Gao K, Ch'ng S, Palme CE, Clark JR. Lymph node ratio as a prognostic factor in metastatic cutaneous head and neck squamous cell carcinoma. Head Neck. 2018;40(5):993–999. doi: 10.1002/hed.25066.
- Sacco AG, Cohen EE. Current Treatment Options for Recurrent or Metastatic Head and Neck Squamous Cell Carcinoma. J Clin Oncol. 2015;33(29):3305–3313. doi: 10.1200/JCO.2015.62.0963.
- Kakurina GV, Kondakova IV, Choinzonov EL. Prognosis of metastasis of squamous cell carcinomas of the head and neck. Problems in Oncology. 2012;58(1):26–32. Russian.
- Alsahafi E, Begg K, Amelio I, Raulf N, Lucarelli P, Sauter T, Tavassoli M. Clinical update on head and neck cancer: molecular biology and ongoing challenges. Cell Death Dis. 2019;10(8):540. doi: 10.1038/s41419-019-1769-9.
- Spirina LV, Kondakova IV, Choinzonov EL, Sharova NP, Chigevskay SY, Shishkin DA. Activity and subunit composition of proteasomes in head and cervical squamous cell carcinomas. Bulletin of Experimental Biology and Medicine. 2010;149(1):89–92. Russian.
- Kakurina GV, Kondakova IV, Choinzonov EL, Shishkin DA, Cheremisina OV. Assessment of blood serum proteome in patients with squamous cell head and neck carcinoma. Siberian Journal of Oncology. 2013;(2):62–66. Russian.
- Tada H, Takahashi H, Ida S, Nagata Y, Chikamatsu K. Epithelial-Mesenchymal Transition Status of Circulating Tumor Cells Is Associated With Tumor Relapse in Head and Neck Squamous Cell Carcinoma. Anticancer Res. 2020;40(6):3559–3564. doi: 10.21873/anticanres.14345.
- Kakurina GV, Shashova EE, Cheremisina OV, Choinzonov EL, Kondakova IV. Circulating actin-binding proteins in progression of laryngeal and hypoharyngeal cancers. Siberian Journal of Oncology. 2020;19(4):88–93. Russian. doi: 10.21294/1814-4861-2020-19-4-88-93.
- Saito S, Yamamoto H, Mukaisho K, Sato S, Higo T, Hattori T, Yamamoto G, Sugihara H. Mechanisms underlying cancer progression caused by ezrin overexpression in tongue squamous cell carcinoma. PLoS One. 2013;8(1):e54881. doi: 10.1371/journal.pone.0054881.
- Li L, Liu M, Lin JB, Hong XB, Chen WX, Guo H, Xu LY, Xu YW, Li EM, Peng YH. Diagnostic Value of Autoantibodies against Ezrin in Esophageal Squamous Cell Carcinoma. Dis Markers. 2017;2017:2534648. doi: 10.1155/2017/2534648.
- Bu M, Liu X, Liu X, Xu W. Upregulation of fascin-1 is involved in HIF-1α-dependent invasion and migration of hypopharyngeal squamous cell carcinoma. Int J Oncol. 2019;55(2):488–498. doi: 10.3892/ijo.2019.4827.
- Wahab A, Hyytiäinen A, Wahbi W, Tuomainen K, Tervo S, Conesa-Zamora P, Jauhiainen L, Mäkinen LK, Paavonen T, Toppila-Salmi S, Salem A, Almangush A, Salo T, Al-Samadi A. The effect of fascin 1 inhibition on head and neck squamous cell carcinoma cells. Eur J Oral Sci. 2021;129(6):e12819. doi: 10.1111/eos.12819.
- Lee LY, Chen YJ, Lu YC, Liao CT, Chen IH, Chang JT, Huang YC, Chen WH, Huang CC, Tsai CY, Cheng AJ. Fascin is a circulating tumor marker for head and neck cancer as determined by a proteomic analysis of interstitial fluid from the tumor microenvironment. Clin Chem Lab Med. 2015;53(10):1631–1641. doi: 10.1515/cclm-2014-1016.
- Teng Y, Xu S, Yue W, Ma L, Zhang L, Zhao X, Guo Y, Zhang C, Gu M, Wang Y. Serological investigation of the clinical significance of fascin in non-small-cell lung cancer. Lung Cancer. 2013;82(2):346–352. doi: 10.1016/j.lungcan.2013.08.017.
- Papaspyrou K, Brochhausen C, Schmidtmann I, Fruth K, Gouveris H, Kirckpatrick J, Mann W, Brieger J. Fascin upregulation in primary head and neck squamous cell carcinoma is associated with lymphatic metastasis. Oncol Lett. 2014;7(6):2041–2046. doi: 10.3892/ol.2014.2007.
- Gao W, Zhang C, Li W, Li H, Sang J, Zhao Q, Bo Y, Luo H, Zheng X, Lu Y, Shi Y, Yang D, Zhang R, Li Z, Cui J, Zhang Y, Niu M, Li J, Wu Z, Guo H, Xiang C, Wang J, Hou J, Zhang L, Thorne RF, Cui Y, Wu Y, Wen S, Wang B. Promoter Methylation-Regulated miR-145-5p Inhibits Laryngeal Squamous Cell Carcinoma Progression by Targeting FSCN1. Mol Ther. 2019;27(2):365–379. doi: 10.1016/j.ymthe.2018.09.018.
- Schlecht NF, Brandwein-Gensler M, Smith RV, Kawachi N, Broughel D, Lin J, Keller CE, Reynolds PA, Gunn-Moore FJ, Harris T, Childs G, Belbin TJ, Prystowsky MB. Cytoplasmic ezrin and moesin correlate with poor survival in head and neck squamous cell carcinoma. Head Neck Pathol. 2012;6(2):232–43. doi: 10.1007/s12105-011-0328-1.
- Gao W, Zhang C, Feng Y, Chen G, Wen S, Huangfu H, Wang B. Fascin-1, ezrin and paxillin contribute to the malignant progression and are predictors of clinical prognosis in laryngeal squamous cell carcinoma. PLoS One. 2012;7(11):e50710. doi: 10.1371/journal.pone.0050710.
Supplementary files






