Comparison of the treatment results in patients with inoperable non-small cell lung cancer in clinical trials and in standard clinical practice using the pseudorandomization method
- Authors: Moiseenko F.V.1,2,3, Fedyanin M.Y.4,5,6, Volkov N.M.1, Abduloeva N.K.1, Levchenko N.V.1, Chubenko V.A.1, Zhabina A.S.1,2, Stepanova M.L.1, Kramchaninov M.M.1, Artemeva E.V.1, Moiseyenko V.M.1
-
Affiliations:
- Saint-Petersburg Clinical Scientific and Practical Center for Specialised Types of Medical Care (Oncological)
- N.N. Petrov National Medicine Research Center of Oncology
- North-Western State Medical University named after I.I. Mechnikov
- N.N. Blokhin National Medical Research Center of Oncology
- 5 Peoples' Friendship University of Russia
- Miklukho-Maklaya ul.
- Issue: Vol 50, No 1 (2022)
- Pages: 47-55
- Section: ARTICLES
- Published: 28.04.2022
- URL: https://almclinmed.ru/jour/article/view/1610
- DOI: https://doi.org/10.18786/2072-0505-2022-50-004
- ID: 1610
Cite item
Full Text
Abstract
Rationale: Non-small cell lung cancer (NSCLC) is an aggressive disease with median survival of 12–14 months in inoperable patients in the pre-immunotherapy era. Nowadays, under treatment with checkpoint inhibitors median survival is 19–22 months. However, only a proportion of patients are sensitive to immune therapy. In this regard, inclusion into clinical trials remains a priority option for patients from medical perspective.
Aim: To compare the results in NSCLC patients treated in accordance with the current clinical guidelines and in international clinical trials using the propensity score matching.
Materials and methods: The study included data from 344 patients with histologically verified unresectable advanced NSCLC without activating mutations, who received the 1st line systemic medical therapy at various combinations (single agent chemotherapy, platinum doublet-based therapy, chemoimmunotherapy, single agent immunotherapy) within the compulsory health insurance (CHI), and from 90 patients, who received therapy in clinical trials. A direct comparison of long-term treatment results was carried out with the log-rank method. To exclude any influence of individual factors on survival rates, an univariate regression analysis and pseudorandomization accounting for these factors were carried out.
Results: The direct comparison of the treatment results showed a higher progression-free survival rate in the patients treated according to clinical trial protocols, than in those treated under CHI (13.3 [95% confidence interval (CI) 8.1–18.5] months vs 6.4 [95% CI 5.9–6.9] months). Pseudorandomization of patients based on a combination of statistically significant parameters from the CHI and clinical trial groups showed a significantly longer time to progression in the trial group (13.3 [95% CI 8.3–18.3] vs 6.3 [95% CI 4.8–7.7] months).
Conclusion: Participation in clinical trials is per se a factor that can significantly impact the longer duration of the treatment effect. This indicates the necessity of the most active use of this tool in clinical practice.
Full Text
Международные и локальные рекомендации по противоопухолевому лечению разрабатываются на основании результатов клинических исследований. Вне всякого сомнения, наиболее обоснованное сравнение эффективности стандартных и альтернативных подходов возможно лишь при применении всего арсенала методов планирования дизайна клинических исследований и статистического анализа их данных [1]. Следовательно, при обсуждении метода лечения, который предлагается пациенту в конкретной ситуации, субъективная оценка его эффективности базируется на результатах, полученных при его применении в высокоселективной группе пациентов.
Вопрос о сравнении результатов лечения по данным клинических исследований и в рутинной практике одними из первых подняли Скотт Дэвис и соавт. в статье, опубликованной в журнале Cancer в 1985 г. Проведенный анализ включал 78 пациентов с локализованным немелкоклеточным раком легкого (НМРЛ), получавших лечение в рамках клинических исследований, и более 1600 пациентов, среди которых проводился отбор больных со сходными прогностическими факторами [2]. В итоге было показано значительное улучшение выживаемости больных, принимавших участие в клинических исследованиях. На это, по мнению авторов, могли повлиять такие факторы, различающиеся в условиях клинических исследований и реальной практики, как предоперационное стадирование, хирургическая техника, эффект плацебо и степень мотивации пациентов к успеху лечения. Очевидное преимущество клинических исследований над рутинной практикой было подтверждено при сравнении результатов лечения кастрационно-резистентного рака предстательной железы доцетакселом и преднизолоном. Медиана времени до прогрессирования составила 13,6 месяца (95% доверительный интервал (ДИ) 12,1–15,1) в условиях рутинной клинической практики и 20,4 месяца (95% ДИ 17,4–23,4; p = 0,007) у участников клинических исследований [3]. Вместе с тем на примере адъювантной терапии рака молочной железы было показано, что применение критериев включения, принятых в регистрационных исследованиях, исключало более 50% пациентов, и этот факт не позволяет результатам в рутинной клинической практике приблизиться к таковым в рафинированных клинических исследованиях [4].
Сегодня с помощью методов статистического анализа можно нивелировать разнородность групп пациентов, которые были отобраны для участия в клинических исследованиях и которым проводили терапию в рамках государственных гарантий оказания гражданам медицинской помощи. Это позволило нам по-новому оценить, имеется ли преимущество в выживаемости, при участии пациента в исследовании с диагнозом НМРЛ на примере одной клиники. Целью настоящего исследования стало сравнение результатов лечения пациентов с НМРЛ в соответствии с текущими клиническими рекомендациями и в рамках международных клинических исследований методом псевдорандомизации (англ. propensity score matching).
Материал и методы
В исследование включены данные о 344 больных с гистологически верифицированным распространенным нерезектабельным НМРЛ без активирующих мутаций, получавших 1-ю линию системной лекарственной терапии в различных комбинациях (монохимиотерапия, терапия на основе платиновых дуплетов, химиоиммунотерапия, моноиммунотерапия) в рамках программы обязательного медицинского страхования (ОМС), и 90 больных, получавших терапию в рамках клинических исследований, проводившихся на базе ГБУЗ «Санкт-Петербургский клинический научно-практический центр специализированных видов медицинской помощи (онкологический)» в 2018–2019 гг.
Селекция пациентов
В анализ включены две группы пациентов. Первую группу составили пациенты, лечившиеся по ОМС. Характеристика больных этой группы и результаты лечения опубликованы нами ранее [5]. Применялись следующие основные критерии включения:
- наличие гистологически верифицированного неоперабельного НМРЛ, получение 1-й линии терапии в 2018–2019 гг. на базе ГБУЗ «СПб КНПЦ СВМП(о)»;
- ECOG 0–2;
- отсутствие значимой сопутствующей патологии, препятствующей назначению стандартного лечения;
- проведение лечения в соответствии с рекомендациями Российского общества клинической онкологии (RUSSCO, 2018) [6] и клиническими рекомендациями Ассоциации онкологов России (АОР, 2019; http://www.oncology.ru/association/clinical-guidelines/). Больные получали монохимиотерапию (пероральный этопозид, винорелбин), платиновые дуплеты (паклитаксел + карбоплатин (ТС) +/- бевацизумаб, цисплатин/карбоплатин + гемцитабин, цисплатин/карбоплатин + пеметрексед, этопозид + цисплатин), иммунохимиотерапию (пембролизумаб + пеметрексед + карбоплатин, пембролизумаб + ТС, атезолизумаб + бевацизумаб + ТС), иммунотерапию (пембролизумаб).
Вторую группу составили пациенты, включенные в международные клинические исследования 1-й линии, которые проходили на базе ГБУЗ «СПб КНПЦ СВМП(о)» в период 2018–2019 гг. Включение проводили независимо от режима лечения, а также варианта сопутствующей иммуно- или таргетной терапии. Так, в 29% исследований не предполагалось использование иммунотерапевтического компонента.
Анализ результатов лечения
В группе стандартного лечения оценку эффективности проведенного лечения осуществляли в соответствии с рутинной клинической практикой, как описано ранее [5]. Выживаемость без прогрессирования на фоне 1-й линии терапии рассчитывали от первого дня первого цикла терапии до регистрации прогрессирования по данным очередной компьютерной томографии, появления клинических признаков прогрессирования заболевания или смерти, если она была констатирована без подтверждения прогрессирования болезни объективными методами.
На первом этапе было проведено прямое сравнение показателей эффективности, в том числе частоты объективных ответов, и моделирование отдаленных результатов лечения (выживаемости без прогрессирования и общей выживаемости) методом Каплана – Мейера для всех больных, включенных в работу.
На втором этапе с целью исключения влияния дисбаланса прогностических факторов был проведен регрессионный анализ в соответствии со следующей методикой. Для формирования сбалансированных когорт мы использовали метод псевдорандомизации (англ. propensity score matching). Склонность к прогрессированию была оценена с помощью логистического регрессионного анализа у каждого конкретного пациента с учетом базовых клинических характеристик – возраст, пол, ECOG, гистологическая форма, поражение регионарных лимфоузлов, наличие отдаленных метастазов, стадия заболевания, метастатическое поражение паренхимы легких, метастатическое поражение печени, метастатическое поражение плевры, метастатическое поражение костей, метастатическое поражение надпочечников, метастатическое поражение отдаленных лимфоузлов, метастатическое поражение других зон, метастатическое поражение головного мозга, число зон метастазирования, компоненты режима 1-й линии терапии. Пациенты, которым проводили терапию в рамках клинического исследования и которые получали лечение по программе ОМС, были подобраны в отношении 1:1, основываясь на оценке их склонности к прогрессированию с шагом 0,15.
Статистическую значимость различий между номинальными величинами оценивали методом хи-квадрат, для непрерывных величин использовали T-тест или дисперсионный анализ (ANOVA), для множественных сравнений – с поправкой Бонферрони. Показатели выживаемости исследовали методом Каплана – Мейера, сравнение статистической значимости выявленных различий осуществляли методом log-rank. Многофакторный анализ проводили с помощью пошагового регрессионного анализа Кокса в случае изучения выживаемости, или биноминального регрессионного анализа, если речь шла об определенном событии. Статистический анализ проводили с помощью программ статистического пакета SPSS (IBM SPPS Statistics v.20).
Результаты
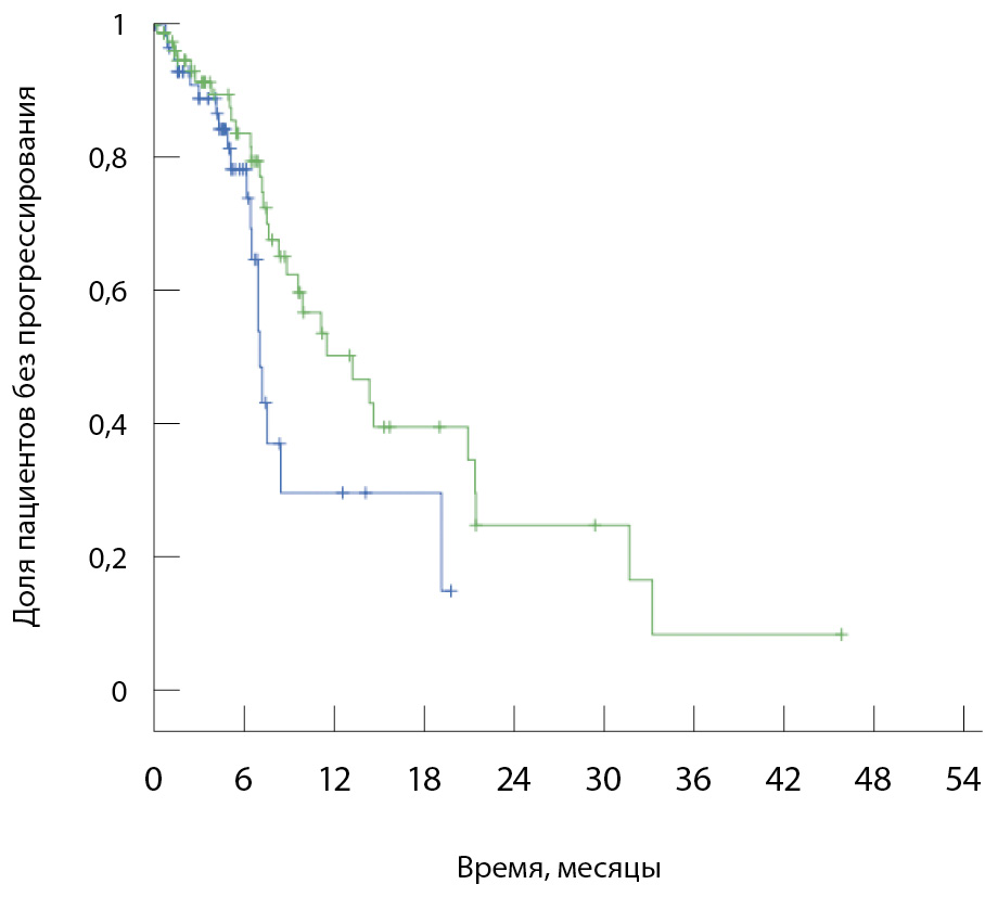
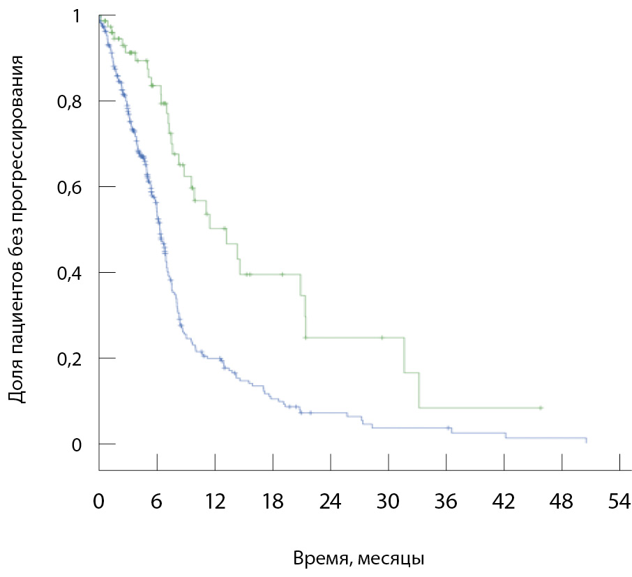
Проанализированы данные 344 больных с неоперабельным НМРЛ, получавших лекарственную терапию 1-й линии в рамках рутинной клинической практики (1-я группа), и 90 больных, включенных в различные клинические исследования (2-я группа). Клинические характеристики пациентов обеих групп обобщены в табл. 1. Следует особо обратить внимание на существенные различия в распределении важных прогностических факторов между группами. Так, в группе ОМС было значительно больше пациентов с «идеальным» клиническим статусом – 0 баллов по шкале ECOG (84,0% против 48,9%), а также в ослабленном состоянии – ECOG 2/3 (4,1% против 0). При прямом сравнении результатов проведенного лечения выживаемость без прогрессирования в 1-й группе была значительно ниже, чем во 2-й: 6,4 (95% ДИ 5,9–6,9) и 13,3 месяца (95% ДИ 8,1–18,5) соответственно (рис. 1). В то же время существенных различий в общей продолжительности жизни выявлено не было (рис. 2).
Рис. 1. Моделирование медианы времени до прогрессирования методом Каплана – Мейера. Синяя кривая – группа лечения в рамках обязательного медицинского страхования, зеленая – группа клинических исследований (log-rank p < 0,000)
Рис. 2. Моделирование общей выживаемости методом Каплана – Мейера. Синяя кривая – группа лечения в рамках обязательного медицинского страхования, зеленая – группа клинических исследований
Таблица 1. Сравнение клинических характеристик группы больных, получавших лечение в рамках обязательного медицинского страхования, и группы пациентов, включенных в клинические исследования, до и после псевдорандомизации
Характеристика | До рандомизации | После рандомизации | |||
группа ОМС (n = 344), абс. (%) | группа клинических исследований (n = 90), абс. (%) | группа ОМС (n = 83), | группа клинических исследований (n = 84), абс. (%) | ||
Пол | |||||
мужчины | 267 (77,6) | 67 (74,4) | 66 (79,5) | 64 (76,2) | |
женщины | 77 (22,4) | 23 (25,6) | 17 (20,5) | 20 (23,8) | |
ECOG, баллы | |||||
0 | 289 (84,0) | 44 (48,9) | 70 (84,3) | 72 (85,7) | |
1 | 41 (11,9) | 46 (51,1) | 13 (15,7) | 12 (14,3) | |
2 | 13 (3,8) | 0 | 0 | 0 | |
3 | 1 (0,3) | 0 | 0 | 0 | |
Гистологическая форма | |||||
аденокарцинома | 287 (83,4) | 70 (77,8) | 66 (79,5) | 64 (76,2) | |
плоскоклеточный рак легкого | 57 (16,6) | 20 (22,2) | 17 (20,5) | 20 (23,8) | |
Средний возраст, годы | 63,3 | 63,8 | 62,4 | 63,8 | |
Характеристика N | |||||
0 | 47 (13,6) | 0 | 6 (7,3) | 0 | |
1 | 74 (21,6) | 15 (16,6) | 18 (21,6) | 15 (17,8) | |
2 | 160 (46,5) | 36 (40,0) | 41 (49,4) | 34 (40,5) | |
3 | 63 (18,3) | 39 (43,4) | 18 (21,7) | 35 (41,7) | |
Характеристика M | |||||
0 | 39 (11,3) | 12 (13,3) | 29 (34,9) | 12 (14,3) | |
1 | 305 (88,6) | 78 (86,7) | 54 (65,1) | 72 (85,7) | |
Метастазы в головном мозге до начала терапии | |||||
да | 35 (10,1) | 3 (3,3) | 13 (15,6) | 3 (3,6) | |
нет | 309 (89,9) | 87 (96,7) | 70 (84,4) | 81 (96,4) | |
Метастазы в печени до начала терапии | |||||
да | 34 (9,9) | 48 (53,3) | 14 (9,9) | 45 (53,6) | |
нет | 310 (90,1) | 42 (46,7) | 69 (90,1) | 39 (46,4) | |
Метастатическое поражение плевры до начала терапии | |||||
да | 31 (9,0) | 14 (15,6) | 12 (14,5) | 14 (16,7) | |
нет | 313 (91,0) | 76 (84,4) | 71 (85,5) | 70 (83,3) | |
Метастатическое поражение костей до начала терапии | |||||
да | 42 (12,2) | 20 (22,2) | 18 (21,7) | 19 (22,6) | |
нет | 302 (87,8) | 70 (77,8) | 65 (78,3) | 65 (77,4) | |
Метастатическое поражение надпочечников до начала терапии | |||||
да | 25 (7,3) | 23 (25,6) | 10 (12,0) | 20 (23,8) | |
нет | 319 (92,7) | 67 (74,4) | 73 (88,0) | 64 (76,2) | |
Метастатическое поражение внутригрудных лимфоузлов до начала терапии | |||||
да | 297 (86,3) | 90 (100) | 69 (83,1) | 84 (100) | |
нет | 47 (13,7) | 0 | 14 (16,9) | 0 | |
Метастатическое поражение в других лимфоузлах до начала терапии | |||||
да | 26 (7,6) | 43 (47,8) | 11 (13,3) | 40 (47,6) | |
нет | 318 (92,4) | 47 (52,2) | 72 (86,7) | 44 (52,4) | |
ОМС – обязательное медицинское страхование
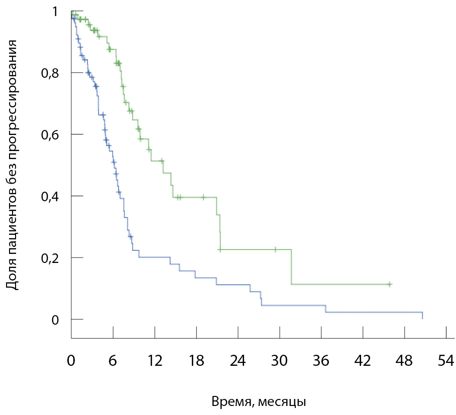
Одним из принципиальных различий между группой, получавшей лечение по программе ОМС, и группой, лечившейся по исследовательским протоколам, было ограничение включения в исследования больных с ECOG ≥ 2, так как чаще всего проведение полноценной 1-й линии терапии этим пациентам не показано. В связи с этим нами проведено повторное сравнение отдаленных показателей для больных с ECOG 0–1, в рамках которого были подтверждены сделанные ранее наблюдения о преимущественности группы клинических исследований в медиане времени до прогрессирования: 7,1 месяца (95% ДИ 6,4–7,8) в 1-й группе и 13,3 месяца (95% ДИ 8,1–18,5; р = 0,039) во 2-й группе (рис. 3).
Рис. 3. Моделирование медианы времени до прогрессирования методом Каплана – Мейера для больных с ECOG 0–1 (р = 0,039). Синяя кривая – группа лечения в рамках обязательного медицинского страхования, зеленая – группа клинических исследований
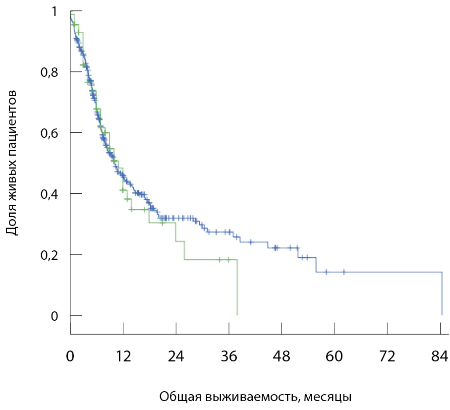
С целью исключения влияния отдельных факторов на показатели выживаемости нами проведен монофакторный регрессионный анализ, результаты которого представлены в табл. 2. Результаты псевдорандомизации пациентов с учетом значимых при монофакторном анализе клинических характеристик приведены в табл. 1. При псевдорандомизации пациентов на основании сочетания статистически значимых показателей из групп ОМС и клинических исследований получено статистически значимо большее время до прогрессирования во 2-й группе по сравнению с 1-й: 13,3 месяца (95% ДИ 8,3–18,3) против 6,3 месяца (95% ДИ 4,8–7,7) (рис. 4).
Рис. 4. Моделирование медианы времени до прогрессирования методом Каплана – Мейера для больных с ECOG 0–1 после проведения процедуры псевдорандомизации (log-rank р < 0,000). Синяя кривая – группа лечения в рамках обязательного медицинского страхования, зеленая – группа клинических исследований
Таблица 2. Результаты монофакторного регрессионного анализа связи клинических факторов и склонности к прогрессированию
Переменная | Отношение шансов (95% доверительный интервал) | Значение p |
Стадия заболевания | 1,484 (1,295–1,702) | < 0,001 |
Гистологическая форма | 1,194 (1,001–1,426) | 0,049 |
Возраст | 0,977 (0,958–0,997) | 0,026 |
Метастатическое поражение паренхимы легких | 0,814 (0,689–0,962) | 0,016 |
Поражение регионарных лимфоузлов | 0,606 (0,490–0,750) | < 0,001 |
Метастатическое поражение печени | 0,541 (0,331–0,887) | 0,015 |
Метастатическое поражение костей | 0,496 (0,285–0,861) | 0,013 |
Метастатическое поражение других зон | 0,449 (0,265–0,760) | 0,003 |
Обсуждение и заключение
Немелкоклеточный рак легкого – агрессивное заболевание с медианой выживаемости у неоперабельных пациентов в доиммунотерапевтическую эпоху 12–14 месяцев [6]. Сегодня препараты, относящиеся к классу ингибиторов контрольных точек, интегрированы в клинические рекомендации и реальную практику. На фоне терапии этими препаратами показатели выживаемости возросли до 19–22 месяцев, однако лишь часть больных чувствительна к иммунотерапии. В этой связи для конкретного пациента включение в клинические исследования остается приоритетным вариантом с медицинской точки зрения [7, 8].
В нашем исследовании при прямом сравнении групп пациентов, получавших лечение в рамках ОМС и клинических исследований, обращает на себя внимание несколько важных факторов. Без сомнения, в плане прогноза больные в группе ОМС имели несколько худшие характеристики, чем больные из группы клинических исследований: в рутинной практике противоопухолевое лечение получали больные с ECOG 2–3, в клинические проекты таких пациентов не включали. Данная группа пациентов практически всегда в рамках рутинной практики не получает терапию платиновыми дуплетами. Кроме того, в группе рутинного лечения почти втрое больше пациентов имели до начала лечения поражение головного мозга (10,1% против 3,3%, хи-квадрат р < 0,001). Вместе с тем менее значимое в отношении прогноза поражение печени и костей было у большинства больных в группе экспериментального подхода: 53,3% против 9,9% для метастазов в печени (хи-квадрат p < 0,001) и 22,2% против 12,2% для метастатического поражения костей (хи-квадрат p < 0,001). По-видимому, именно подобное сочетание факторов определяло большее время до прогрессирования в группе клинических исследований – 13,3 месяца (95% ДИ 8,1–18,5) против 6,4 месяца (95% ДИ 5,9–6,9) в группе ОМС. Подчеркнем, что разница при прямом сравнении сохранялась даже в случае исключения из анализа выживаемости больных с ECOG 2–3: 13,3 и 7,1 месяца соответственно (р = 0,039).
С целью коррекции дисбаланса в прогностических факторах мы провели псевдорандомизацию. Несмотря на сбалансированность прогностических факторов, медиана выживаемости без прогрессирования у больных, участвовавших в клинических исследованиях, по-прежнему была выше, составив 13,3 месяца (95% ДИ 8,3–18,3) против 6,3 месяца (95% ДИ 4,8–7,7) в группе ОМС. Из данного наблюдения можно сделать несколько выводов. Во-первых, полученные в рамках клинических исследований результаты, по-видимому, нельзя однозначно экстраполировать на клиническую практику. Во-вторых, можно предположить, что участие в клинических исследованиях позволяет значительно улучшить результаты проводимого лечения. Другим очевидным следствием участия пациентов в клинических исследованиях является соответствующее снижение числа больных, получающих лечение за счет бюджетных средств.
Немаловажно, на наш взгляд, что при выборе стратификационных факторов в их список осознанно не были включены вариант лечения и факт применения ингибиторов контрольных точек, так как значимое число из вошедших в анализ исследований носило рандомизированный, плацебоконтролируемый характер.
Среди ограничений нашего исследования следует отметить отсутствие оценки окончательного влияния снижения дозовой интенсивности, что связано с организационными особенностями лечения по программе ОМС. Несмотря на невозможность учета всех технических различий при проведении одного и того же вида лечения в рамках клинических исследований и в рутинной практике, представляется целесообразным вычленить неспецифические факторы, влияющие на эффективность лечения. В одной из ранних работ был поднят вопрос о тенденции более активного контроля и несколько более агрессивного лечения для больных, включенных в клинические исследования, в сравнении с больными, соответствовавшими критериям включения, но по разным причинам не включенным в эти исследования [Цит. по [9]; с. 8]. Аналогичные наблюдения сделали авторы работы, в которой изучали лечение нефробластомы у детей, включенных в исследование, а также не включенных в него, но подходивших по критериям включения. Дети, которые были включены в экспериментальную работу, получили большее число циклов химио- и радиотерапии, а также чаще получали лечение в специализированном стационаре [10]. Следует учитывать также и эффект плацебо, воздействие которого на результаты лечения во время клинических исследований, в том числе онкологических, считается доказанным [11].
Таким образом, на основании результатов, полученных в настоящем исследовании, можно заключить: участие в клинических исследованиях является per se фактором, который может существенным образом влиять на продолжительность эффекта проведенного лечения, что определяет необходимость максимально активного использования этого инструмента в клинической практике.
Дополнительная информация
Финансирование
Работа проведена без привлечения дополнительного финансирования со стороны третьих лиц.
Конфликт интересов
Авторы декларируют отсутствие явных и потенциальных конфликтов интересов, связанных с публикацией настоящей статьи.
Участие авторов
Ф.В. Моисеенко – разработка дизайна клинической части исследования, анализ и интерпретация результатов, написание и редактирование текста; М.Ю. Федянин – анализ и интерпретация результатов исследования; Н.М. Волков, Н.В. Левченко и В.А. Чубенко – редактирование рукописи; Н.Х. Абдулоева, А.С. Жабина, М.Л. Степанова, М.М. Крамчанинов и Е.В. Артемьева – формирование групп пациентов, сбор и обработка материала; В.М. Моисеенко – концепция и дизайн исследования, концепция и дизайн статьи, утверждение итогового варианта текста рукописи. Все авторы прочли и одобрили финальную версию статьи перед публикацией, согласны нести ответственность за все аспекты работы и гарантируют, что ими надлежащим образом были рассмотрены и решены вопросы, связанные с точностью и добросовестностью всех частей работы.
About the authors
Fedor V. Moiseenko
Saint-Petersburg Clinical Scientific and Practical Center for Specialised Types of Medical Care (Oncological); N.N. Petrov National Medicine Research Center of Oncology; North-Western State Medical University named after I.I. Mechnikov
Author for correspondence.
Email: moiseenkofv@gmail.com
ORCID iD: 0000-0003-2544-9042
MD, PhD, Associate Professor, Head of Department of Chemotherapy; Research Fellow, Scientific Department of Innovative Methods of Therapeutic Oncology and Rehabilitation; Professor, Chair of Oncology, Surgical Faculty
Russian Federation, 68A Leningradskaya ul., Pesochnyy poselok, Saint Petersburg, 197758; 68 Leningradskaya ul., Pesochnyy poselok, Saint Petersburg, 197758; 41 Kirochnaya ul., Saint Petersburg, 191015Mikhail Yu. Fedyanin
N.N. Blokhin National Medical Research Center of Oncology;5 Peoples' Friendship University of Russia; Miklukho-Maklaya ul.
Email: fedianinmu@mail.ru
ORCID iD: 0000-0001-5615-7806
MD, PhD, Senior Research Fellow, Oncological Department of Drug Treatment (Chemotherapeutic) No. 2; Associate Professor, Chair of Oncology and Hematology, Faculty of Continuing Medical Education
Russian Federation, 23 Kashirskoe shosse, Moscow, 115478; Moscow, 117198, Russian FederationNikita M. Volkov
Saint-Petersburg Clinical Scientific and Practical Center for Specialised Types of Medical Care (Oncological)
Email: volkovnm@gmail.com
ORCID iD: 0000-0002-6232-257X
MD, PhD, Head of Chemotherapy and Radiotherapy Departments
Russian Federation, 68A Leningradskaya ul., Pesochnyy poselok, Saint Petersburg, 197758Nuriniso Kh. Abduloeva
Saint-Petersburg Clinical Scientific and Practical Center for Specialised Types of Medical Care (Oncological)
Email: abduloeva-n@mail.ru
ORCID iD: 0000-0001-5236-0241
MD, PhD, Head of Outpatient and Advisory Department
Russian Federation, 68A Leningradskaya ul., Pesochnyy poselok, Saint Petersburg, 197758Natalya V. Levchenko
Saint-Petersburg Clinical Scientific and Practical Center for Specialised Types of Medical Care (Oncological)
Email: levch.nv@gmail.com
MD, PhD, Head of Day Patient Facility1
Russian Federation, 68A Leningradskaya ul., Pesochnyy poselok, Saint Petersburg, 197758Vyacheslav A. Chubenko
Saint-Petersburg Clinical Scientific and Practical Center for Specialised Types of Medical Care (Oncological)
Email: vchubenko@me.com
MD, PhD, Head of Oncology and Chemotherapy Department (Antitumor Drug Therapy)
Russian Federation, 68A Leningradskaya ul., Pesochnyy poselok, Saint Petersburg, 197758Albina S. Zhabina
Saint-Petersburg Clinical Scientific and Practical Center for Specialised Types of Medical Care (Oncological); N.N. Petrov National Medicine Research Center of Oncology
Email: albina_zhabina@inbox.ru
ORCID iD: 0000-0001-9749-8519
MD, PhD, Physician, Department of Chemotherapy; Research Fellow, Scientific Department of Innovative Methods of Therapeutic Oncology and Rehabilitation
Russian Federation, 68A Leningradskaya ul., Pesochnyy poselok, Saint Petersburg, 197758; 68 Leningradskaya ul., Pesochnyy poselok, Saint Petersburg, 197758Maria L. Stepanova
Saint-Petersburg Clinical Scientific and Practical Center for Specialised Types of Medical Care (Oncological)
Email: stepanovamary1992@gmail.com
Research Fellow, Scientific Department
Russian Federation, 68A Leningradskaya ul., Pesochnyy poselok, Saint Petersburg, 197758Mikhail M. Kramchaninov
Saint-Petersburg Clinical Scientific and Practical Center for Specialised Types of Medical Care (Oncological)
Email: mm90@rambler.ru
Physician, Department of Chemotherapy
Russian Federation, 68A Leningradskaya ul., Pesochnyy poselok, Saint Petersburg, 197758Elizaveta V. Artemeva
Saint-Petersburg Clinical Scientific and Practical Center for Specialised Types of Medical Care (Oncological)
Email: mukhina_ev@mail.ru
ORCID iD: 0000-0002-9790-4967
Physician, Department of Chemotherapy
Russian Federation, 68A Leningradskaya ul., Pesochnyy poselok, Saint Petersburg, 197758Vladimir M. Moiseyenko
Saint-Petersburg Clinical Scientific and Practical Center for Specialised Types of Medical Care (Oncological)
Email: moiseyenkov@gmail.com
ORCID iD: 0000-0002-2246-0441
MD, PhD, Professor, Director
Russian Federation, 68A Leningradskaya ul., Pesochnyy poselok, Saint Petersburg, 197758References
- Booth CM, Tannock IF. Randomised controlled trials and population-based observational research: partners in the evolution of medical evidence. Br J Cancer. 2014;110(3):551–555. doi: 10.1038/bjc.2013.725.
- Davis S, Wright PW, Schulman SF, Hill LD, Pinkham RD, Johnson LP, Jones TW, Kellogg HB Jr, Radke HM, Sikkema WW, Jolly PC, Hammar SP. Participants in prospective, randomized clinical trials for resected non-small cell lung cancer have improved survival compared with nonparticipants in such trials. Cancer. 1985;56(7):1710–1718. doi: 10.1002/1097-0142(19851001)56:7<1710::aid-cncr2820560741>3.0.co;2-t.
- Templeton AJ, Vera-Badillo FE, Wang L, Attalla M, De Gouveia P, Leibowitz-Amit R, Knox JJ, Moore M, Sridhar SS, Joshua AM, Pond GR, Amir E, Tannock IF. Translating clinical trials to clinical practice: outcomes of men with metastatic castration resistant prostate cancer treated with docetaxel and prednisone in and out of clinical trials. Ann Oncol. 2013;24(12):2972–2977. doi: 10.1093/annonc/mdt397.
- Srikanthan A, Amir E. Efficacy-effectiveness gap as an obstacle to translating clinical trials to clinical practice. Eur J Cancer. 2015;51(8):905–906. doi: 10.1016/j.ejca.2015.03.017.
- Moiseenko FV, Volkov NM, Abduloeva NH, Levchenko NV, Chubenko VA, Zhabina AS, Chernobrivceva VV, Shuginova TN, Shelekhova KV, Kheinshtein VA, Stepanova ML, Kramchaninov MM, Belukhin SA, Khabitcheva AM, Artemieva EV, Nosova MV, Tuleyko VM, Moiseyenko VM. Real world efficacy of immunotherapy in nonsmall cell lung cancer. Malignant tumours. 2020;10(1):5–20. Russian. doi: 10.18027/2224-5057-2020-10-1-5-20.
- Malhotra B, Evans T, Weiss J, Eaby B, Stonehouse-Lee S, Sherry V, Langer CJ. Carboplatin/pemetrexed/bevacizumab in the treatment of patients with advanced non-small-cell lung cancer: a single-institution experience. Clin Lung Cancer. 2010;11(3):192–197. doi: 10.3816/CLC.2010.n.025.
- Gadgeel S, Rodríguez-Abreu D, Speranza G, Esteban E, Felip E, Dómine M, Hui R, Hochmair MJ, Clingan P, Powell SF, Cheng SY, Bischoff HG, Peled N, Grossi F, Jennens RR, Reck M, Garon EB, Novello S, Rubio-Viqueira B, Boyer M, Kurata T, Gray JE, Yang J, Bas T, Pietanza MC, Garassino MC. Updated Analysis From KEYNOTE-189: Pembrolizumab or Placebo Plus Pemetrexed and Platinum for Previously Untreated Metastatic Nonsquamous Non-Small-Cell Lung Cancer. J Clin Oncol. 2020;38(14):1505–1517. doi: 10.1200/JCO.19.03136.
- Socinski MA, Nishio M, Jotte RM, Cappuzzo F, Orlandi F, Stroyakovskiy D, Nogami N, Rodríguez-Abreu D, Moro-Sibilot D, Thomas CA, Barlesi F, Finley G, Kong S, Lee A, Coleman S, Zou W, McCleland M, Shankar G, Reck M. IMpower150 Final Overall Survival Analyses for Atezolizumab Plus Bevacizumab and Chemotherapy in First-Line Metastatic Nonsquamous NSCLC. J Thorac Oncol. 2021;16(11):1909–1924. doi: 10.1016/j.jtho.2021.07.009.
- Laktionov KK, Artamonova EV, Breder VV, Gorbunova VA, Moiseenko FV, Reutova EV, Sakaeva DD, Smolin AV, Ter-Ovanesov MD. Practical recommendations for drug treatment of non-small cell lung cancer. Malignant Tumors: RUSSCO Practical Guidelines #3s2. 2018;8(3 Suppl 2):30–46. Russian. doi: 10.18 027 / 2224–5057–2018–8–3s2–30–46.
- Stiller CA, Lennox EL. Nephroblastoma in infants, 1969-75: variations in treatment and survival. Br Med J. 1980;281(6250):1246–1248. doi: 10.1136/bmj.281.6250.1246.
- Kienle GS, Kiene H. The powerful placebo effect: fact or fiction? J Clin Epidemiol. 1997;50(12):1311–1318. doi: 10.1016/s0895-4356(97)00203-5.
Supplementary files








